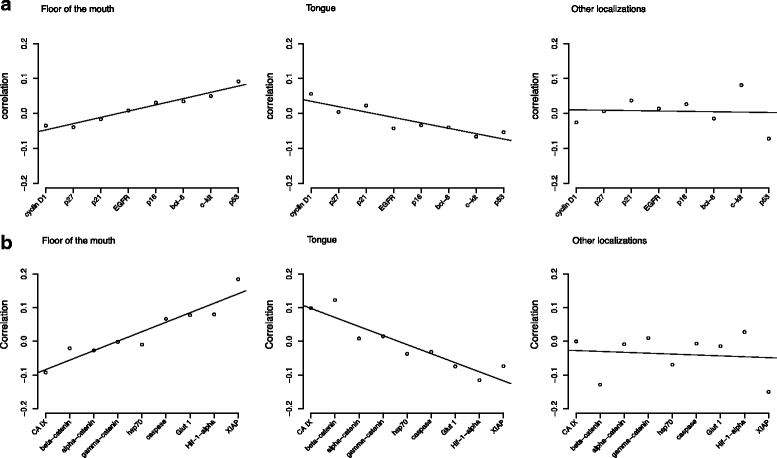
Fig. 2

Regression curves of the evaluated tumour samples examined by permutation analysis. a Protein expression of different anatomical subsites analysed according to cell cycle and growth control regulation proteins. b Protein expression of different anatomical subsites analysed according to genes involved in cellular stress responses, apoptosis and cell adhesion